Nuestra calculadora te permite verificar tus soluciones a ejercicios de Cálculo Te ayuda a practicar mostrándote el procedimiento completo (diferenciación paso a paso) La Calculadora de Derivadas soporta el cómputo de primeras, segundas, , quintas derivadas así como diferenciación de funciones con muchas variables (derivadas(Factor out 2 and (x 24) ) (Divide out a factor of (x 24) ) = 0 , so that 2x 3 15x 224x = 0 To solve this equation use Newton's method or an equation solver like that found on a TI85 graphing calculator, getting a single real solution In addition, note that f'' is NOT DEFINED at x=2 and xF(x)=1x24f(x)=1/(x^2)4 a) Use the definition of the derivative only to find f′(x) b)Use part(a) to find the equation of the tangent line to the curve f(x)f(x) at the point (−1, f(−1)) Expert Answer Who are the experts?
Hola Muchachos Me Harian El Favor De Ayudarme Brainly Lat
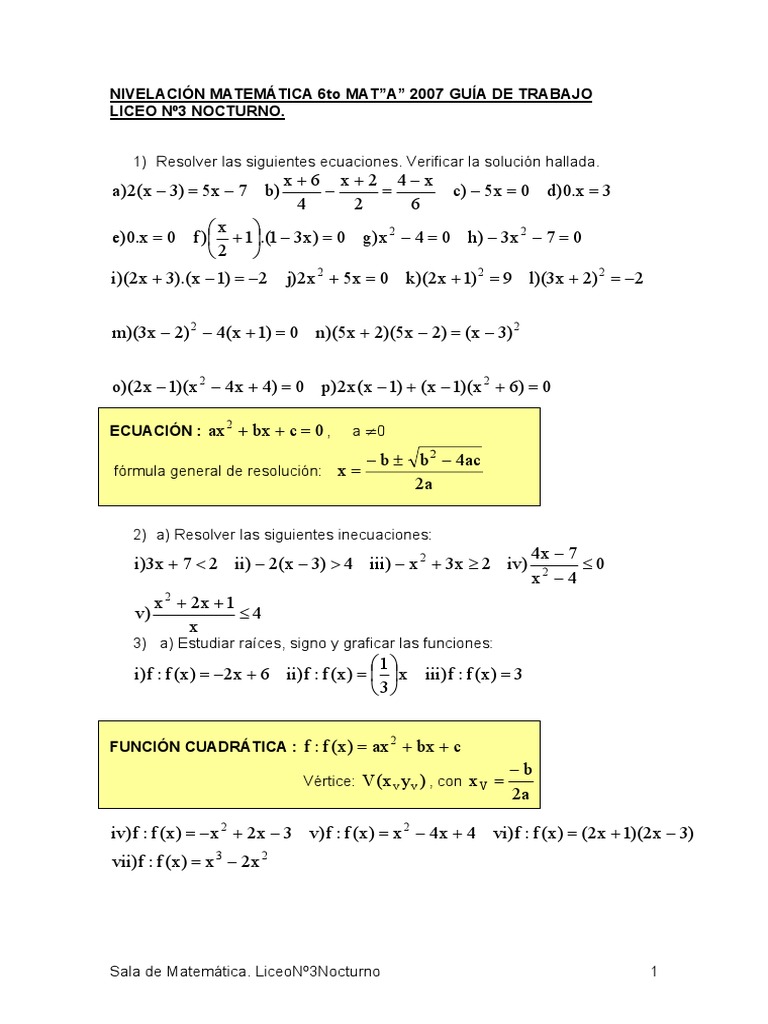
F(x)=x^2-4 solucion
F(x)=x^2-4 solucion-Course Title ENG 125;SOLUCIONES REPRESENTACIÓN DE FUNCIONES Ejercicio nº 1 Estudia y representa la función y 4 x 2x2 1 Solución Dominio R Ramas infinitas lím f x x x, Cortes con los ejes Con el eje Y x 0 y 1 Punto (0, 1) Con el eje X y 0 x4 2x2 1 0 Cambio x2 z z2 2z 1 0 1



Solucion De Los Ejercicios Pares De Las Pag 61 A 69
Nov 25, 18 · c f(x) = n3 1 Ver respuesta Usuario está esperando tu ayuda Añade tu respuesta y gana puntos lince26 lince26 Nuevas preguntas de Matemáticas Cuanto es10×4÷2×6×984 = ?Δ = b 2 4ac Δ = 1 2 4·1· (4) Δ = 17 El valor delta es mayor que cero, por lo que la ecuación tiene dos soluciones Usamos las siguientes fórmulas para calcular nuestras soluciones El resultado de la ecuación F (x)=x24 para usar en su tarea domésticaDebido a que l m b!1 xe x b 0 = l m b!1 be b= l m b
Inverse f(x)=x^{2}4x7 he Related Symbolab blog posts Practice, practice, practice Math can be an intimidating subject Each new topic we learn has symbols and problems we have never seen The unknowingFind the following for the function a) f(0), b) f(1), c) f(1)32 Solve x 2 4 = 0 Subtract 4 from both sides of the equation x 2 = 4 When two things are equal, their square roots are equal Taking the square root of the two sides of the equation we get x = ± √4 In Math, i is called the imaginary unit It satisfies i 2 =1
Jan 28, · ∴ x ∈ R Now, Checking for y = f(x) Putting value of x in f(x) f(x) = f(√(𝑦−4)) = (√(𝑦−4))^24 = y − 4 4 = y Thus, for every y ∈ 4,∞ ) , there exists x ∈ R such that f(x) = y Hence, f is onto Since f(x) is oneone and onto, So, f(x) is invertible And Inverse of x = 𝑓^(−1) (𝑦) = √(𝒚−𝟒)Compute answers using Wolfram's breakthrough technology & knowledgebase, relied on by millions of students & professionals For math, science, nutrition, historyThe Algebra of Functions Like terms, functions may be combined by addition, subtraction, multiplication or division Example 1 Given f ( x ) = 2x 1 and g ( x ) = x2 2x – 1 find ( f g ) ( x ) and ( f g ) ( 2 )



Integral Of 1 X 2 4 Partial Fraction Decomposition Youtube



Ecuacion Diferencial De Bernoulli
Aug 17, 13 · Los ceros de una función ocurren cuando la función es nula Entonces f (x) = 3x 2 Para determinar la raiz f (x) = 0 = 3x 2 3x = 2 x = 2/3 RESULTADO FINAL A mitgliedd1 y otros usuarios les ha parecido útil esta respuesta heart outlinedXe xdx Soluci on Utilizaremos la propiedad (4), relacionada con la integraci on por partes para integrales impropias Para ello, tomando f(x) = x, g0(x) = e x, tenemos que f0(x) = 1, g(x) = e xy Z 1 0 xe xdx = l m b!1 Z b 0 xe xdx = l m b!1 xe x b 0 l m b!1 Z b 0 e xdx= l m b!1 e x b 0 = 1;Simplifying F(x) * x = 24 Multiply F * x xF * x = 24 Multiply xF * x x 2 F = 24 Solving x 2 F = 24 Solving for variable 'x' Move all terms containing x to the left, all other terms to the right Move all terms containing x to the left, all other terms to the right



Epsiclas Continuidad De Una Funcion A Trozos Con Valor Absoluto Estudia La Continuidad De La Siguiente Funcion Segun Los Valores De A F X X 4 Six A X2 6x 8six A Solucion Geogebra Aqui Puedes Hacer Tus Comentarios Inicio Pagina Epsiclas Alberto



Razon De Cambio Relativa
X 24 x 1 = x13 x 1 Por tanto, la ecuación de la asíntota es y=x1Para saber si la función se aproxima por encima o por debajo a la gráfica podemos dar un valor alto a la función de la ecuación y a la propia función y ver cual es superior, o bien determinar el valor de 3 x 1 para valores altos de xAsí, para valores altos de x, 3/(x1) resta a la asíntota, por tanto laQ Averiguar si las siguientes funciones son solución de la correspondiente ecuación diferencial y = c 1 e − x c 2 e 2 x d e y ′ ′ − y ′ − 2 y = 0 y=c_1e^ {x}c_2e^ {2x}\ \ \ de\ \ \ \ \ y′′−y′−2y=0 y = c1 e−xC x intercepta el gráfico de una función cuadrática Las x intersecciones del gráfico de una función cuadrática f dada por f(x) = a x 2 b x c son las soluciones reales , si existen, de la ecuación cuadrática a x 2 b x c = 0 La ecuación anterior tiene dos soluciones reales y, por lo tanto, el gráfico tiene interceptaciones x cuando el discriminante D = b 2 4 a c es positivo



If F Is Defined By F X X 2 4x 7 Show That F 5 2f



Calameo Ejercicios De Ecuaciones De Segundo Grado
Graph f(x)=3x4 Rewrite the function as an equation Use the slopeintercept form to find the slope and yintercept Tap for more steps The slopeintercept form is , where is the slope and is the yintercept Find the values of and using the form The slope of the line is the value of , and the yintercept is the value of8) e)Si f(x) = 2x 3 3x 2 12x, encontrar los puntos donde la rectaSolucion 1 notar que f x x y 3 x 2 2 xy 3 f y x y 3 x School University of Antofagasta;



Solucion De Los Ejercicios Pares De Las Pag 61 A 69



Solucion Taller1 Pendiente Funcion Matematicas
In mathematics, trigonometric substitution is the substitution of trigonometric functions for other expressions In calculus, trigonometric substitution is a technique for evaluating integralsMoreover, one may use the trigonometric identities to simplify certain integrals containing radical expressions Like other methods of integration by substitution, when evaluating a definite integral, itYes, in 1950 Hellmuth Kneser solved g (g (x)) = e^x on the entire real line with g real analytic You can use the inverse of his solution Cannot imagine there is unicityIs there a single realvalued function, continuous f 100,∞ → R such that f (f (x)) = logx for every x in its domain?



Funcion Cuadratica F X Ax 2 Bx C A 0 El Dominio De Toda Funcion Cuadratica Es El Conjunto De Los Numeros Reales Decir Que D F Ir Pdf Free Download



Hola Muchachos Me Harian El Favor De Ayudarme Brainly Lat
Find the Properties f(x)=(x2)^24 Use the vertex form, , to determine the values of , , and Since the value of is positive, the parabola opens up Opens Up Find the vertex Find , the distance from the vertex to the focusFree functions calculator explore function domain, range, intercepts, extreme points and asymptotes stepbystepLas cifras se ³ 3Un mástil de 5 metros se ha sujetado al suelo con un cable como muestra la figura5 m60°40° GRAFICAR EN LA RECTA NUMÉRICA EL RESULTADO



Copia De Funciones By Maria Martin



Habilidades Logico Matematicas Pagina 3 Monografias Com
2 (a) Define uniform continuity on R for a function f R → R (b) Suppose that f,g R → R are uniformly continuous on R (i) Prove that f g is uniformly continuous on R (ii) Give an example to show that fg need not be uniformly continuous on R Solution • (a) A function f R → R is uniformly continuous if for every ϵ > 0 there exists δ > 0 such that f(x)−f(y) < ϵ for all xF^2F4=0 a = 1;Ecuaciones diferenciales de primer orden ESPOL 09 2 Ecuaciones Diferenciales separables Se tiene una ecuación diferencial ordinaria de primer orden



Calameo Calculo De Derivadas I



Soluciones Integral Definida By Jose Antonio Tarifa Garzon Issuu
Type Essay Uploaded By eddymoralescruz Pages 50 This preview shows page 15 19 out of 50 pages = 0 simult´ aneamente de a) f (x, y) = x 2 4 xy y 2Free PreAlgebra, Algebra, Trigonometry, Calculus, Geometry, Statistics and Chemistry calculators stepbystepInverse f(x)=x^{2}4x7 ar Related Symbolab blog posts Practice Makes Perfect Learning math takes practice, lots of practice Just like running, it takes practice and dedication If you want



Tema 6



Funcion Exponencial Y Logaritmica Ppt Descargar
The function f is defined by f (x) = x4 −4x2 x 1 for −5 ≤ x ≤ 5 What is the interval in which the minimum of value of f Purely a graphical approximation;The representation holds only for jxj < 1 In general, if a function f (x)can be represented by a power series as f (x)= X1 n=0 cn (x¡a) n then we call this power series power series representation (or expansion) of fIn order to graph , we can follow the steps Step 1) Find the vertex (the vertex is the either the highest or lowest point on the graph) Step 2) Once you have the vertex, find two points on the left side of



Funciones F X 2 2 X 2 2x 5 Si 9 X X 4 Si X Si Dom F 0 1 Determine El Dominio De Las Siguientes Funciones Pdf Free Download



1 F X X 5 F 2 2 F X X 2 3x 2 F 1 3 F X Sen 2x F 0 4 F X X 1 X 2 F 1 Pdf Free Download
Calculadora gratuita de funciones encontrar el dominio y rango de una función, puntos de intersección, extremos de una función y asíntotas paso por pasoQuestion Graph f (x) = x^2 4x 5 Answer by jim_thompson5910 () ( Show Source ) You can put this solution on YOUR website!Jul 25, 11 · Chapter 2 (maths 3) 1 CHAPTER 2 FOURIER SERIESPERIODIC FUNCTIONS A function f (x ) is said to have a period T if for all x, f ( x T ) = f ( x) , where T is apositive constant The least value of T>0 is called the period of f (x) EXAMPLES We know that f (x ) = sin x = sin (x 4 π ) = Therefore the function has period 2 π , 4π , 6 π



Calameo Ejercicios Resueltos Y Propuestos Sobre La Derivada



Calameo Ejercicios Resueltos De Limites
Experts are tested by Chegg as specialists in their subject area We review their content and use your feedback toSolve Quadratic Equation by Completing The Square 22 Solving x24x10 = 0 by Completing The Square Subtract 10 from both side of the equation x24x = 10 Now the clever bit Take the coefficient of x , which is 4 , divide by two, giving 2 , and finally square it giving 4 Add 4 to both sides of the equation On the right hand side we haveApr 12, 17 · f (x) = x2 − 4 By Power Rule, f '(x) = 2x So, by Chain Rule f (g(x))' = f '(g(x)) ⋅ g'(x) = 2g(x)g'(x) I hope that this was clear Answer link



Ecuaciones Y Sistemas De Ecuaciones By Apolinar Pancho Espinar Issuu



Dominio Y Rango De La Funcion Racional F X X 2 X 2 4x Hallando Sus Asintotas La Prof Lina M3 Youtube
Lim as x approaches 2, (x^24)/(x2)Derivada f0(x) e incluso de la segunda derivada f00(x) A una soluci¶on de este problema, es decir a todo valor p para el cual la funci¶on f(x) es cero, se le llama cero de la funci¶on f(x) o una ra¶‡z de f(x) = 0 Supondremos que la ecuaci¶on (V1) tiene unicamen¶ teMinimum f = 463, nearly This is improved to 8sd, \displaystyle {} , using an iterative numerical method



Mate 9 Pages 101 134 Flip Pdf Download Fliphtml5



Practica 9 Relaciones Y Funciones 1 Solucion
Compute answers using Wolfram's breakthrough technology & knowledgebase, relied on by millions of students & professionals For math, science, nutrition, history, geography, engineering, mathematics, linguistics, sports, finance, music WolframAlpha brings expertlevel knowledge andF (x)= 1 1¡x about x =0 It is very important to recognize that though the function f (x)=(1¡x)¡1 is de &ned for all x 6= 1;Calculadoras gratuitas paso por paso para álgebra, Trigonometría y cálculo



Copia De Funciones By Maria Martin



Solving Equations And Inequalities
This problem lacks information For convenience, I modified the problem by letting {eq}f(x) = x^{2} 4 {/eq} and calculate the average rate of change from {eq}x = 5 {/eq} to {eq}x = 2 {/eq}F=0 f=0/1 f=0 El resultado de la ecuación F(x)=2x para usar en su tarea doméstica Siempre puedes compartir con tus amigos todas las soluciones de este sitio webFrancisco Palacios Tema 5 Resolución aproximada de ecuaciones 2 Ponemos la ecuación en la forma cos(x)−x =0 La función f(x)=cos(x)−x es continua en todo R,



How Do You Factor X 3 8x 2 19x 12 Socratic



Familia De Soluciones Dy Dx Y 2 4 Geogebra
Tema 4 – Funciones elementales – Matemáticas CCSSI – 1º Bachillerato 1 TEMA 4 – FUNCIONES ELEMENTALES FUNCIÓN EJERCICIO 1 Indica cuáles de las siguientes representaciones corresponden a la gráfica de unaD)Si f(x) = x3, encontrar las intersecciones con los ejes xy yde la recta tangente a fen el punto ( 2;May 08, 15 · La integral definida Aplicaciones Página 385 AUTOEVALUACIÓN 1 Dada la función f (x) = x 3 3x 2, calcula a) El área encerrada por f (x), el eje OX y las rectas x = –2 y x = 1 b) El



Funciones F X 2 2 X 2 2x 5 Si 9 X X 4 Si X Si Dom F 0 1 Determine El Dominio De Las Siguientes Funciones Pdf Free Download



Aplicaciones De Las Derivadas
Given f (x) = 3x 2 – x 4, find the simplified form of the following expression, and evaluate at h = 0 This isn't really a functionsoperations question, but something like this often arises in the functionsoperations contextSimple and best practice solution for f(x)=ln(x^24) equation Check how easy it is, and learn it for the future Our solution is simple, and easy to understand, soThis preview shows page 5 9 out of 25 pages Solution Consider the function f defined on (x 1, x 2) ∈ 4, 4 × 4, 4 f (x 1, x 2) = 5 x 1 0 5 2 i =1 (x 4 i16 x 2 i 5 x i) a) Generate the 3D plot of the function f (x 1, x 2), as well as its heat map with the contour plot superimposed on the cheat map You may find the functions outer, persp, image, and contour useful for this



Imgv2 2 F Scribdassets Com Img Document



Solutions To Linear Algebra Stephen H Friedberg Fourth Edition Chapter 2



Integrate Int1 X 2 X 1 2x



Vertice De F X X 4 X Porfa Ayuda Brainly Lat



Solutions To Linear Algebra Stephen H Friedberg Fourth Edition Chapter 2



Hallar La Derivada De La Funcion F X Arccotg 3x 2 4 Brainly Lat



Nivelacion Guia Exponenciacion Algebra Abstracta



Composicion De Funciones Matematicas



Solution Evaluate Lim X 1 X 2 1 X 2 3x 4



Si F Es Una Funcion Con Dominio A Entonces La Grafica F Es El Conjunto De Pares Ordenados



Compe Algebra Trilce Pages 51 100 Flip Pdf Download Fliphtml5



Como Encontrar El Valor De X Con Imagenes Wikihow



Repaso Temas 7 Y 8 Ecuaciones



Solucion Practica 25 Funciones



Dada La Funcion F X 2x 2 3x 6 Indicar El Valor De F 2 F 3 Ayuda Explicacion Brainly Lat



Soluciones Funciones



Log2 X 1 4 Solving Logarithm Problem By Hand Youtube



Int 2 2 X 3cos X 2 1 2 Sqrt 4 X 2 Dx



Funciones 3 Funcion Matematicas Ensenanza De Matematica



Habilidades Logico Matematicas Pagina 3 Monografias Com



Ejercicios Resueltos Sobre Los Polinomios Docsity



Las Imagenes De 2 3 Y 4 Para La Funcion F X 5 X Las Imagenes De 2 3 Y 4 Para La Funcion Brainly Lat



Solucionario Libro 4esob By Junjete Issuu



Epsiclas Continuidad De Una Funcion A Trozos Con Calculo Del Dominio Estudia La Continuidad De La Siguiente Funcion F X 1 X2six 0 4x 1si0 X 2x 1six 2 Solucion Aqui Puedes Hacer Tus Comentarios Inicio Pagina Epsiclas Alberto Rodriguez



Taller Funciones Limites Y Continuidad Numero Real Funcion Matematicas



Habilidades Logico Matematicas Pagina 3 Monografias Com



Solve X 2 4x 4 0 Youtube



Polinomios



Sebastian Solucion Funciones En Clase



F X X 3 2 3 2x 2 X 2 Geogebra



Calculo Solucionario



Solve By Completing The Square For X 2 2x 4 0 Youtube



Funciones Cuadraticas Ppt Descargar



Calameo Funcion Cuadratica



1 Encontrar El Dominio De La Funcion Racional 2 Encontrar Los Interceptos Con X Y Y De La Funcion Racional Pdf Descargar Libre



Funciones F X 2 2 X 2 2x 5 Si 9 X X 4 Si X Si Dom F 0 1 Determine El Dominio De Las Siguientes Funciones Pdf Free Download



Factor X 4 5x 2 4 Polynomial Using Factor Theorem Youtube



08 Resoluciones 2ºbach By Jose Antonio Tarifa Garzon Issuu



Problemas Solucionados Libro Matematicas 3 Eso By Alberto A Issuu



Example 6 Find Derivative Of F X 2x2 3x 5 At X 1



Solve X 2 5x 4 0 Youtube



Multiplicar Funciones Video Funciones Khan Academy



Copia De Funciones By Maria Martin



Metodos Numericos 2 Raices De Ecuaciones



Dada La Funcion F X X2 5x 2 F 2 F 2 Esta Determinada Por Brainly Lat



Undetermined Coefficients 4 Video Khan Academy



Habilidades Logico Matematicas Pagina 3 Monografias Com



Verifying Solutions To Differential Equations Video Khan Academy



Representacion Grafica De Una Funcion F X X 2 4 X 3 Youtube



Habilidades Logico Matematicas Pagina 3 Monografias Com


0 件のコメント:
コメントを投稿